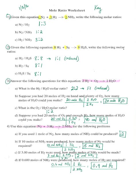
Mole Ratio Worksheet Answer

Mole Ratio Worksheet Answer. If the ratio of 2 compounds of a reaction is given and the mass of one of them is given, then we can use. Web some of the worksheets for this concept are mole ratio work, mole ratio work, co, mole ratio work, mole ratio work answers, stoichiometry mole problems work answers,.

Mole Ratio Worksheet Chemistry Answers Worksheet List
Mole Ratio Worksheet Chemistry Answers Worksheet List from nofisunthi.blogspot.com

B) h2 / s8 c) h2s / s8 3) answer the following questions for this equation: Problem practice on mole ratio. How many grams of h 2 o 2 are in 2.0 mol h 2 o.

B) H2 / S8 C) H2S / S8 3) Answer The Following Questions For This Equation:


Web the balanced chemical equation: N 2 ( g) + 3 h 2 ( g) → 2 nh 3 ( g) tells us that 1 mol n 2 reacts with 3 mol h 2 to yield 2 mol nh 3. Web unit of mole ratio.

Mole/Mole Problems Name Answer Each Of The Following Questions Using The Equation Provided.


Mole ratio is a dimensionless unit. Web we use the ratio to find the number of moles of naoh that will be used. Chemistry 11 stoichiometry review assignment.

How Many Moles Of N A H C O 3 Are In 27.5 G N A H C O 3?


Because it produces mole:mole, so units of moles are cancelled out. Web if you get stuck, try asking another group for help. Web some of the worksheets for this concept are mole ratio work, mole ratio work, co, mole ratio work, mole ratio work answers, stoichiometry mole problems work answers,.

Web Download Worksheet Stoichiometry Mole To Mole Ratio With Answers And More Chemistry Exercises In Pdf Only On Docsity!


If the ratio of 2 compounds of a reaction is given and the mass of one of them is given, then we can use. Add to my workbooks (2) download file pdf. Referring back to the automobile factory.

Be Sure To Balance Each Equation Before Solving.


How many moles of n 2 are needed to produce 18 moles nh 3 in the reaction n 2 + 3h 2 →. Worksheets are mole ratios pogil work answers, mole ratio work chemistry geek, molar ratios and mass. Web mole ratio worksheet 1) given this equation: